탄성 퍼텐셜 에너지는 물체가 변형될 때 축적되는 에너지를 뜻하며, 주로 스프링이나 고무줄과 같이 탄성을 지닌 물체에서 나타납니다. 이 에너지는 물체가 원래 형태로 돌아가려는 힘을 통해 발생하며, 주로 스프링 상수와 변형된 거리의 제곱에 비례하여 증가합니다. 이번 글에서는 탄성 퍼텐셜 에너지의 개념과 계산법, 실생활의 예시, 주요 특성 등을 설명하고, 결론적으로 탄성 에너지의 중요성을 정리해보겠습니다.
탄성 퍼텐셜 에너지란 무엇인가?
정의와 개념
- 탄성력에 의한 에너지 축적: 탄성 퍼텐셜 에너지는 물체가 압축되거나 늘어날 때 축적되는 에너지를 의미합니다. 주로 스프링이나 고무줄과 같은 물체가 원래 상태로 돌아가려는 복원력에 의해 발생합니다.
- 스프링 상수와 변형량의 관계: 스프링에서 탄성 퍼텐셜 에너지는 스프링 상수와 변형된 거리의 제곱에 비례하여 증가합니다.
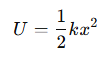
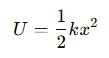
수식 표현
- 탄성 퍼텐셜 에너지 공식: 탄성 퍼텐셜 에너지 ( U )는 다음 수식으로 계산됩니다.

여기서 ( k )는 스프링 상수이고, ( x )는 변형된 거리입니다.
- 스프링 상수의 역할: 스프링 상수가 클수록 스프링은 더 강력하게 작용하며, 작은 변형량으로도 더 많은 에너지가 축적됩니다.
탄성 퍼텐셜 에너지의 특징
복원력의 작용
- 복원력과의 상호작용: 스프링이 변형될 때 탄성 퍼텐셜 에너지가 축적되며, 이는 복원력이 작용하여 스프링이 원래 형태로 돌아가려는 힘으로 나타납니다.
- 에너지 전환의 핵심 요소: 물체가 원래 상태로 돌아갈 때 탄성 퍼텐셜 에너지가 운동 에너지로 전환되며, 에너지가 보존되는 과정을 관찰할 수 있습니다.
위치에 따른 에너지 변화
- 변형의 정도와 에너지 변화: 변형된 거리가 클수록 탄성 퍼텐셜 에너지가 증가하여 물체가 원래 위치로 돌아갈 때 더 큰 운동 에너지를 발휘합니다.
- 에너지의 비례적 관계: 스프링 상수가 일정할 경우, 변형량이 두 배가 되면 탄성 퍼텐셜 에너지는 네 배로 증가합니다.
실생활에서의 탄성 퍼텐셜 에너지 예시
스프링 장난감과 고무줄
- 스프링 장난감: 스프링으로 만든 장난감은 당기거나 누르면 탄성 퍼텐셜 에너지가 축적되었다가 장난감을 놓는 순간 운동 에너지로 전환되어 움직입니다.
- 고무줄의 예: 고무줄을 당길 때 생기는 에너지는 탄성 퍼텐셜 에너지로 저장됩니다. 이를 놓으면 고무줄이 원래 형태로 돌아가면서 운동 에너지를 방출합니다.
차량 서스펜션 시스템
- 충격 흡수 기능: 자동차 서스펜션의 스프링은 도로의 충격을 흡수하며 탄성 퍼텐셜 에너지를 통해 충격을 완화합니다.
- 안전과 편안함 보장: 서스펜션의 스프링 시스템이 충격을 흡수하여 승객에게 전달되는 충격을 최소화하며, 안전하고 편안한 주행을 돕습니다.
탄성 퍼텐셜 에너지의 응용
운동 에너지와의 상호작용
- 에너지 전환 과정: 탄성 퍼텐셜 에너지는 운동 에너지로 전환될 수 있으며, 물체의 움직임을 예측하는 중요한 역할을 합니다.
- 연속적인 에너지 교환: 물체가 압축 및 확장 과정을 반복할 때 운동 에너지와 탄성 퍼텐셜 에너지가 지속적으로 교환됩니다.
산업 및 공학적 활용
- 충격 방지 장치: 산업용 스프링이나 댐퍼 시스템에서 탄성 퍼텐셜 에너지는 기계 충격을 흡수하여 장비의 수명을 연장합니다.
- 발전 가능성: 탄성 에너지를 활용한 에너지 저장 시스템은 재생 가능하고 효율적인 에너지 저장 방안으로 주목받고 있습니다.
결론
탄성 퍼텐셜 에너지는 스프링이나 고무줄과 같은 탄성 물체에서 발생하며, 물체가 변형될 때 복원력을 통해 에너지를 축적하고 방출하는 방식으로 작용합니다. 일상 생활부터 산업적 응용까지 폭넓게 활용되는 탄성 퍼텐셜 에너지는 물체의 변형과 복원력 간의 상호작용을 이해하는 데 중요한 역할을 합니다. 이 에너지는 에너지 전환과 보존을 연구하는 데에도 필수적인 개념입니다.